ThermusQ >Pathway

There are many unique biological pathways in T. thermophilus that are not well described in KEGG database, for instance. Each organism may adopted variations in the common pathways. Following list is the knowledge of pathways gathered from T. thermophilus community. The effort of gathering is still on going.

1. Carbohydrate metabolism
2. Cell surface system biosynthesis
3. Genetic information process
4. Amino acid metabolism
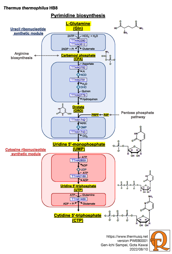
5. Nucleotide metabolism
6. Metabolism of cofactor and vitamin
7. Cell cycle